visual word ton home links   open museum skryl

 

FORMA UND FORMULA von Galina und Nikolay Skryl Berlin. Denkerei. 2012

Bilder, Bilder, überall Bilder. Und was macht eigentlich die Bildwissenschaft?

Diskussion in der Denkerei Berlin, 30.10.2012.

 

Es diskutieren: Horst Bredekamp, Bazon Brock, Hubert Burda, Daniel Hornuff, Lambert Wiesing,
Wolfgang Ullrich.

Laudatio von Dr. Alexander Paquet


Auf der Bühne hing ein einziges Bild. Weiß auf schwarz leuchteten darauf kryptische Formeln.
Mathematik? Physik?
Von beidem etwas. Eine Welt in Zeichen, in Bildern.
Ungewollt illustrierten die Künstler Galina und Nikolay Skryl mit ihrem Gemülde das Thema an
diesem Berliner Abend.
Am Bild hüngt, zum Bild drüngt alles, was den modernen Menschen ausmacht.
Kunst und Wissenschaft, Medizin und Militür, Alltag und Politik.


FOCUS-Redakteurin Gabi Czöppan. Montag, 05.11.2012.

https://www.focus.de/kultur/medien/kultur-und-leben-medien-die-revolution-der-bilder_aid_852564.html



Einen guten Abend wünsche ich Ihnen allen.

Mein Name ist Alexander Paquet.

Ich bin gelernter Astrophysiker, habe über die Entwicklung von Galaxien in der frühen Phase
des Universums gearbeitet und vor einigen Tagen das Privileg erhalten, kurz zu Ihnen über
&laqou;die Theorie des kongruenten Universums&raqou; der Künstler Galina und Nikolay Skryl
zu sprechen, deren Bilder Sie heute Abend umgeben.

Kunst auf der einen Seite, Wissenschaft auf der anderen, Kunst gibt es schon lange,
Wissenschaft auch.

Die Spanne der Kunst reicht von den Naturvölkern zu Jeff Koons und die Spanne der
Naturwissenschaft von dem Höhlenmenschen, der vor seiner Höhle wachte und die funkelnden
Punkte am Firmament beobachtete, bis zu einem Oberseminar der Universität Heidelberg;
in dem sich Professoren vortrefflich über die Anzahl der Universen zu streiten wußten.

Ja, nicht ein Universum, expandierend, statisch oder schrumpfend, sondern eine Anzahl,
n+1 oder doch n+m?

Nun, kann man nachdenken darüber - wenn Kunst und Naturwissenschaft etwa gleich alt sind
- welche von beiden weiterentwickelt ist, oder welche Disziplin erfolgreicher ist.

Wie viele Menschen erfreuen sich tagtäglich an Farben, Farbmischungen, sehen Kunst,
wie viele Menschen kennen die Schrödingergleichungen, müssen sie kennen.

Beides kann man sehen, beide Disziplinen bis zu einem bestimmten Maß verstehen, was
liegt also näher, als beide Disziplinen zu sehen, beide zu verstehen, beides zusammen zu
bringen, vielleicht sogar in einer Theorie, ohne Widersprüche, ohne Haken oder unbekannte
Konstanten wie der Allgemeinen Relativitätstheorie, nein, überprüfbar, einfach und schön.

Diese Theorie gibt es, sie wurde generiert von den beiden anwesenden Künstlern Skryl - bitte,
stehen sie auf. - Sie sehen ihre Bilder, sehen Ausschnitte Ihrer Theorie,
«der Theoriedes kongruenten Universums».

Über den künstlerischen Wert ihrer Arbeiten besteht für mich kein Zweifel, haben sie
auch schon 2005 und 2007 im Russischen Museum ausgestellt, von dem naturwissenschaftlichen
Gehalt ihrer Kunst bin ich als Astrophysiker ebenfalls überzeugt.

Allerdings bin ich schon 15 Jahre raus aus der naturwissenschaftlichen Forschung, verstehe zwar
noch die Zusammenhänge von Bewegungsgleichungen in der Quantenmechanik und dem
Welle-Teilchen-Dualismus des Lichtes, beides Teile dieser Theorie, aber würde mich sehr
darüber freuen, wenn sich vielleicht (im Rahmen eines Sonderforschungsbereiches?) «praktizierende»
Naturwissenschaftler der Skrylschen Theorie «des kongruenten Universums» widmen könnten und das
im Lichte der neuesten Forschung, mit gejagten und vielleicht - endlich - gefundenen Elemenarteilchen,
deren Existenz übrigens auch von dieser einzigartigen Theorie hervorgesagt werden.

Für Fragen und Näheres stehen Ihnen die Künstler jederzeit - heute Abend - zur Verfügung.
Danke, für Ihre Aufmerksamkeit, und Ihnen noch einen schönen Abend.

Laudatio von Dr. Alexander Paquet

https://www.youtube.com/watch?v=futTui_gT-c&feature=youtu.be



Form des Universums

Die Form des Universums ist eine wichtige offene Frage.
In der Sprache der Mathematik sprechen wir von einem Problem der Suche nach
der Topologie des Raumschnitts des Universums, das heißt einer solchen Figur,
die den Raumaspekt des Universums an besten darstellt.

Auch kann man die Form des Universums in Form einer mathematischen Formel darstellen.
Die reduzierte Form des Universums ist die Formel ( lat. formula - kleine Form).

Das Reduzieren der Form hat die Analogie in der Kunst.
Das radikale Reduzieren der Form - bringt die Absage auf die Form zum Reduzieren der
Farben und entspricht der Vorweisung «des neuen» kreativen Raumes: «das schwarze Quadrat».

Die Extrapolation des beobachteten Zustandes des Universums rückwärts in der Zeit
bringt einen zur unvermeidlichen Schlussfolgerung, dass für die endliche Zeit der ganze
Raum des Universums in einem Punkt - der kosmologische Singularität - zusammengerollt
wird, die der Urknall genannt wird.


Der Punkt ist die reduzierte Form des Universums vor dem Urknall.

Die Beobachtung des Universums ist mit der Fähigkeit des Menschen verbunden, zu sehen.
Eine minimale Form der visuellen Informationen in den modernen Mitteln der Kommunikation
ist das Pixel - das kleine Quadrat.
Die Träger der visuellen Informationen sind die Farbe und das Licht.

Zwei Modalitäten betrachtend: das Helldunkel (weiß-schwarz) und die Farbe, kann man behaupten,
dass sich die Farbe durch nichts von weiß oder schwarz unterscheidet und auch ein Mittel für
die Erscheinungsform ist.


Die weißen Formeln auf dem schwarzen Quadrat.

Das schwarze Quadrat kann man wie einen absolut schwarzen Körper bestimmen.

Der absolut schwarze Körper absorbiert alles auf ihn fallendes Licht.
Jedoch kann der absolut schwarze Körper das Licht selbst ausstrahlen. Das Spektrum der Ausstrahlung des

absolut schwarzen Körpers klärt sich in seiner Temperatur.

Dreieck. Tafel 1. (Bild 14)

Max Planck hat festgestellt, dass die Ausstrahlung des absolut schwarzen Körpers in Form von
den abgesonderten Quanten - der Portionen der Energie geschieht.
Die Größe der Portionen der Energie ist mit der Frequenz der Ausstrahlung ν verbunden.

Ε = hν = ħω

ħ = h/2π

Louis de Broglie hat festgestellt, dass die Welleneigenschaften nicht nur für das Licht,
sondern auch für jede Teilchen eigen sind.

ν = Ε/h, λ = h/p

Die Schrödingergleichung ist eine Gleichung der Bewegung des Teilchens als Wellen.

iħ∂/∂t |ψ(t)⟩ = Ĥ|∣(t)⟩

Die Heisenbergsche Bewegungsgleichung beschreibt die Evolution eines Systems der Bewegung
des Teilchens mit Hilfe einer Observablen, die von der Zeit abhängen kann.

d/dtA = -1/iħ[H,A] + ∂A/∂t,

ΔxΔp ≥ ħ/2

Die Charakteristiken (die physikalischen Größen) der Teilchen kann man in Form von Matrizen
darstellen, die sich in der Zeit ändern.


Die Pauli-Gleichung. Sie beschreibt die zeitliche Entwicklung eines geladenen Spin-1/2-Teilchens.

 

Die Operatoren der physikalischen Größen sind die Matrizen. Eine quadratische Matrix ist
eine Tabelle von Elementen meist mathematischer Objekte.
Die Teilchen und die Wechselwirkungen sind die Ereignisse im Universum.
Mit Hilfe der Lorentz-Transformation zerlegt man den Abstand zwischen zwei Ereignissen in
Komponenten parallel und senkrecht zum Geschwindigkeitsvektor:

 








Bild 14: Dreieck. Tafel 1. Öl auf Leinwand, 150x150 cm, 2012. Nykolay Skryl.



Acht Oktanten. Tafel 2. (Bild 15)

Poincaré. Der poincarésche Wiederkehrsatz ist ein mathematischer Satz über dynamische Systeme.
Insbesondere ist der poincarésche Wiederkehrsatz ein Satz der Ergodentheorie.

 

 

Je nach den eigenen Bedeutungen der Matrix A, unterscheiden vier (acht) Typen von regulären singulären Punkten:
den Knoten (2), den Sattel (2), den Brennpunkt (2), das Zentrum (2) (8x8).
Die Wahrscheinlichkeit der Ereignisse stellen die Matrizen der Übergänge der Ereignisse dar.
Mit deren Hilfe kann man die Markow-Kette ausrechnen.

 

 








Bild 15: Acht Oktanten. Tafel 2. Öl auf Leinwand. 150x150 cm. 2012. Nikolay Skryl.



Matrix. Tafel 3. (Bild 16)



Descartes. Euler. Poincaré.

Die Euler-Poincaré-Charakteristik ist im mathematischen Teilgebiet der Topologie eine
Kennzahl/topologische Invariante für topologische Räume, zum Beispiel für einen Torus.
S die Anzahl der Ecken, A die Anzahl der Kanten und H die Anzahl der Flächen eines konvexen
Polyeders. Die Beziehung S + H = A + 2 gilt.

Das radikale Reduzieren der Form in der Physik und Astronomie ist die Singularität.

Die Singularität sind Zustände, bei denen die Masse und der Raum-Zeit im Punkt mit der extrem
hoher Dichte zusammenfallen.

Das radikale Reduzieren der Form in der Physik und Astronomie ist die Singularität.

Die Singularität sind Zustände, bei denen die Masse und der Raum-Zeit im Punkt mit der extrem
hoher Dichte zusammenfallen.

Über eine Singularität verfügen solche Erscheinungen wie der Zustand des Universums bei dem
Urknall und die schwarzen Löcher.

Ein Schwarzes Loch lässt sich durch lediglich drei physikalische Größen vollständig beschreiben:
Masse, Drehimpuls und elektrische Ladung:

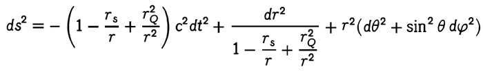
Schwarze Löcher, die keine Ladung tragen Q = 0 und nicht rotieren L = 0, werden durch die Schwarzschild-Metrik beschrieben.



Schwarze Löcher, die keine Ladung tragen Q = 0 und rotieren L ≠ 0, werden durch die Kerr-Metrik
beschrieben.



Schwarze Löcher, die geladen sind Q ≠ 0 und nicht rotieren L = 0, werden durch die
Reissner-Nordström-Metrik beschrieben.



Schwarze Löcher, die geladen sind Q ≠ 0 und rotieren L ≠ 0, werden durch die Kerr-Newman-Metrik
beschrieben.

 








Bild 16: Matrix.Tafel 3. Öl auf Leinwand. 150x150 cm. 2012. Nikolay Skryl



Da die meisten Theorien der Schwerkraft in der Zeit umkehrbar sind, kann man ein
Objekt erhalten, das nicht zusammenbricht und nicht den Horizont zukünftiger Ereignisse
und Singularitäten um sich herum bildet, sondern ein Objekt, das aus einer unsichtbaren
Singularität unter dem Horizont von Ereignissen der Vergangenheit geboren wird und sich
dann zerstreut und den Horizont zerstört. Das wird ein weißes Loch sein.

Das weiße Loch ist zeitlich das Gegenteil des schwarze Loches - wenn es aus dem
schwarzen Loch unmöglich ist, herauszukommen, so ist es ins weiße Loch unmöglich,
hinein zu geraten.








Bild 17: Weißes Loch. Öl auf Leinwand. 115x60 cm. 2012. Nikolay Skryl








Bild 18: Schwarzes Loch. Öl auf Leinwand. 115x60 cm. 2012. Nikolay Skryl





nach oben